제 1장 - 생물에너지
3/13 ~ 15
지구생태계
- 구성요소
생물: 3역 6계
세균역 세균계 고세균역 고세균계 진핵생물역 원생생물계 균계 식물계 (99%) 동물계 환경요소:
[토양, 광선, 물, 공기, 온도]
먹이사슬 (Food Chains): 식물 \(\rightarrow\) 초식동물 \(\rightarrow\) 육식(잡식) 동물
- 먹이그물 (food webs): 먹이사슬이 복잡하게 연결되어 있는 현상
- 먹이 \(\Leftarrow\) 열 (heat) + 무기성분 (탄산가스, 물, 질소물)
- 생태적 피라미드:
1.
Energy Pyramid Rule of 10: Only \(\approx\) 10% passes to the next level

2.
Number Pyramid (개체수)- 포식자일수록 적어짐

3.
Biomass Pyramid (생물량)
- 포식자일수록 적어짐
생물에너지 흐름

\(6CO_2 + 12H_2O +\) 광 에너지 \(\rightarrow C_6H*{12}O_6 + 6O_2+6H_2O\)
- 명반응 (process of photosynthesis)
- 엽록소에서 태양E(빛E)를 흡수 \(\rightarrow\)
NADPH,ATP화학에너지 생성 & 저장
- 엽록소에서 태양E(빛E)를 흡수 \(\rightarrow\)
- 암반응 (탄소반응): 빛과는 독립적으로 일어남
NADPH와ATP를 이용하여 포도당 합성

광합성
- \(C_3\) 식물:
[벼, 보리, 밀, 귀리, 호밀, 콩, 감자] - \(C_4\) 식물:
[옥수수, 수수, 사탕 수수, 조, 기장, 율무] \(CAM\) 식물 (Crassulacean Acid Metabolism):
[파인애플, 선인장]식물의 분포와 적응 \(\rightarrow\) 지역의 기후 조건 \(\rightarrow\) 인간 생태계 형성
- 공변세포: 기공의 개폐 (open and close) 조정
- 증산작용: 기공을 통하여 \(H_2O\), \(CO_2\), \(O_2\) 이동
- 기공 OPEN : get \(CO_2\); lose \(H_2O\) and \(O_2\)
- 기공 CLOSE: 광합성 억제, everything else maintained
C3와 C4 식물의 차이점
유관속초세포 (Bundle sheath cell) aka \(C_4\) 회로 (note chloroplasts)

| \(C_3\) | \(C_4\) | |
|---|---|---|
| 유관속초세포 | 덜 발달 (엽록체 적게 분포) | 발달 (엽록체 多) |
| \(CO_2\) 결합 | 루비스코 (Rubisco), RuBP carboxylase | PEP carboxylase |
| Calvin Cycle | in 엽육세포 | in 유관속초 세포 |
| 작물 | 벼, 밀, 보리, 콩 | 옥수수, 사탕수수 |
- \(CAM\) Plants: ONLY 기공 at Night (\(\approx C_3\))
최종정리

작물과 식물
- differs greatly by
저장물질 - 구성물질 =
[cellulose, pectin...] - 활성세포 물질 =
[핵산, 효율, 엽록소...] - 저장물질 =
[탄수화물 (전분,설탕,프룩테인), 단백질, 지방 ...]- 인간의 개발로 저장물질의 함량에 차이
세계 TOP 5 주요작물: 밀, 벼, 옥수수, 감자, 보리
작물 vs 식물
-
수학지수 `HI` (harvest index %) \(HI = \frac{경제적 수량 (종자)}{생물학적 수량 (잎, 줄기, 종자)} * 100\)
| 식물 | 10~20% |
| 작물 | 40~50% |
\(\Rightarrow\) 인간에 의해 연구개량됨
- \(Q\). 작물의 수확지수를 앞으로 얼마나 더 올릴 수 있을 것인가? \(\rightarrow\) 미래 식량문제 해결의 방안
세포호흡 (Cellular Respiration)
세포호흡 =
(음식의 에너지)\(\rightarrow\) 변환! \(\rightarrow\)(ATP에 저장된에너지)주요 작물종자의 구성성분 (1위 밀 ~ 7위 호밀) 탄수화물 very high, 단백질 low
하지만 땅콩: 탄수화물 (
11.7%) \(<\) 단백질 (30.4%)총식용건물 (%) 총 단백질 (%) 화곡류 69% 55% 육류 6% 13 %
\(\Rightarrow\) 총 단백질은 화곡류가 육류보다 높다…!
1: 탄수화물
- 밀의 이용
-
글루텐 (밀 저장단백질)
밀 종류 protein 사용식품 밀가루 경질밀 11%~14%빵 강력분 중간진밀 10%~13%국수 중력분 연진밀 8%~11%크래커, 도넛, 쿠키, 케이크 박력분 듀럼 12.5% ~ 15% 스파게티, 마카로니 - Glueten의 양과질 \(\uparrow\) = protein, quality \(\uparrow\)
-
쌀의 이용
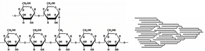
Type 아밀로오스 아밀로펩틴 (찰성) Japonica < 18%> 82%Indica > 18%< 82%아밀로오스 : 일렬

아밀로펩틴 \(\rightarrow\) 비교적 끈적함

- 특정 효소가 사이사이를 끊어주면 단맛 \(\uparrow\)
아밀로펩틴은 일렬이 아니라 뭉쳐 있어서 hit rate \(\uparrow\)
옥수수,쌀: higher 아밀로펩틴 \(\rightarrow\) 더 끈적함
- 보리의 이용
- 보리밥, 보리떡, 수제비, 칼국수, 빵, 쿠키
- 옥수수 이용
- 빵, 머핀, 옥수수죽, 요리용 분말, 스낵, 과자
- 감자의 이용
- 찐감자, 구운감자, 섞은 감자, 으깬감자, 감자떡, 튀긴감자, 과자
2: 단백질
- 단백질의 기능
- 효소(enzyme), 근육(muscle), 혈액 (blood)
- 성장 (cellular growth), 신체 유지(body maintenance)
- 단백질의 구성 = \(C\), \(O\), \(H\), \(N\)
- 아미노산 : 20 different 화학적 특성
- 아미노산의 조합 differ \(\rightarrow\) 다른 단백질
- 단백질의 이용:
- 콩 38%, 땅콩 30%, 해바라기 28%
- 강낭콩 23%, 녹두 24%
- 귀리 16%, 밀 14%, 보리 13%, 호밀 13%, 벼 9%
- 한민족의 콩 이용
- 콩나물, 두부, 청국장, 간장, 된장, 두유 등
- 콩의 영양성이 국제적으로 인정됨
- aka 황금작물, 환금작물 (cash crop), … 기적의 작물 (miracle crop), 미래의 식량 (future food)
- 식물 단백질들은 완전하게 만들기 위해 조합 가능
- ex:
- 렌즈콩: 리신 \(\uparrow\), 발린 \(\downarrow\)
- 쌀 : 리신 \(\downarrow\), 발린 \(\uparrow\)
- \(\Rightarrow\) 적절히 섞으면 굳
3: 지방
- 지방의 기능:
- 호르몬, 유사물질의 합성
- 세포막 형성에 필수 물질 공급
- 뇌와 신경 조직 구성
- 저용상 비타민 (A, D, E, K, F) 흡수 도움
- 식용으로 이용
- 필수지방산 중
리놀레산,리놀렌산\(\Rightarrow\) 콩, 들깨에 풍부 - 유효 작물: 참깨, 유채
- 필수지방산 중
- 공업용으로도 이용
- 제약업, 페인트, 구명장비, 바이오디젤
- \(FATS\) 지방
| 포화지방 | 분포화 지방 |
| Saturated Fat | Unsaturated Fat |
| 최대 (#) 수소와 결합 | 최대로 결합은 X |
| 실온에서 고체 | 실온에서 액체 |
| 대부분의 동물 지방 | 대부분의 식물 지방 |